产品展示 | 联系我们 浦宏环保公司主营项目:污水处理设备、中水回用设备、废水零排放设备、纯水设备、物料分离过滤设备!
20年专注水处理设备技术研发 专注技术 专心质量 专业服务
全国咨询热线:159-2117-8145
您的位置: 首页>新闻中心>行业新闻
新闻中心

联系我们contact us

香港免费公开资料大全
地址:江苏省苏州市昆山市淀山湖双马路168号6号楼
联系人:朱经理
电话:159-2117-8145
手机:15921178145

行业新闻

UASB的运行规律详解

时间:2023-06-30 13:57:05 来源:[db:出处] 点击:412次

升流式厌氧反应器(UASB)中废水通过布水装置依次进入底部的污泥层和中上部污泥悬浮区。与其中的厌氧微生物进行反应生成沼气,气、液、固混合液通过上部三相分离器进行分离,污泥回落到污泥悬浮区,分离后废水排出系统,同时回收产生的沼气。注:常规的UASB没有外循环泵(在水力负荷特别低,造成上升流速特别低的情况下,有设置外循环泵的现场)

一、UASB反应器的进水条件

1、PH值6.0-8.0

2、营养比例(COD:氨氮:TP)100-500:5:1

3、进水悬浮物:≤1500mg/L

4、B/C≥0.3

5、进水氨氮浓度:≤2000mg/L

6、进水COD浓度:≥1500mg/L

7、其他有毒物质最大允许值:

1.jpg

除上面提到的细菌中毒之外,在UASB中还有一些形式的中毒。游离H2S-S浓度达到80mg/l时,发生硫化物中毒。如果UASB的进水满足下列条件,则H2S中毒可以避免。1)COD/SO4>20g/g,2)COD/SO4>15g/g和COD<30g/l,3)COD/SO4>10g/g和COD<10g/l,4)COD/SO4>7.5g/g和COD<5g/l,注意:COD与SO42-的比值大于10是理想条件。(规范上给出的硫酸根浓度≤1000mg/L)

二、UASB常用参数及公式

1、当废水可生化性差的时候需要在UASB前端设置水解酸化池。

水解酸化池的容积负荷常用的计算公式:

1.jpg

式中:

V——反应器有效容积,m3;Q——设计处理量,m3/d;Nv——容积负荷,kgCOD/(m3·d)S0——进水COD,mg/L

容积负荷取值范围:

1.jpg

2、UASB容积负荷

UASB反应器容积负荷常用的计算公式:

1.jpg

式中:

V——反应器有效容积,m3;Q——设计处理量,m3/d;Nv——容积负荷,kgCOD/(m3·d)S0——进水COD,mg/L

容积负荷取值范围:

1.jpg

3、布水装置

多点布水,进水管负荷,见下表

1.jpg

4、其他常用参数:

  • 有效水深:5-8m;
  • 上升流速:<0.8m/h。(如果是絮状污泥的话,建议取更低的上升流速);
  • 大阻力穿孔管布水,过孔流速:>2.0m/s,穿孔管直径应大于100mm;
  • 穿孔布水管与池底距离:200mm;
  • 沉淀区表面负荷不大于0.8m3/(㎡·h);
  • 沉淀区总水深应大于1.0m;
  • 出水堰口负荷不大于1.7L/(S·m),即:6.12m3/(h·m);
  • UASB污泥产率为:0.05-0.10kgVSS/kgCOD;
  • UASB宜采用重力多点排泥;
  • UASB排泥点宜设在污泥区中上部和底部,中上部排泥点宜设在三相分离器下0.5-1.5m;

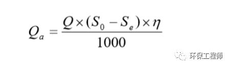
5、UASB沼气产率及计算公式

1.jpg

式中:

Qa——沼气产量,Nm3/d;Q——设计处理量,m3/d;η——沼气产率,Nm3/kgCOD(常用取值范围:0.45-0.50 Nm3/kgCOD);S0——进水COD,mg/LSe——出水COD,mg/L

三、UASB启动

1、以絮状污泥启动

  • 絮状污泥接种量为:20-30kgVSS/m3;
  • 启动负荷不大于1kgCOD/(m3·d);
  • 上升流速不大于0.2m/h;
  • 进水浓度宜为:5000mg/L;
  • 加热时,每日温升2℃,使UASB达到设计温度;
  • 出水COD去除率达到80%以上,或出水VFA低于200mg/L后可逐步提高容积负荷;
  • 容积负荷每次提升为设计负荷的20%-30%;
  • 进水水力负荷(可认为是上升流速)过低时可采用出水回流,提高反应器的上升流速,加快污泥颗粒化和优良菌种的选择进度;

2、以颗粒污泥启动

  • 颗粒污泥接种量为:10-20kgVSS/m3;
  • 启动负荷宜为:3kgCOD/(m3·d)
  • 处理废水与接种污泥废水性质完全不同时,宜在第一周保持初始污泥负荷低于最大设计负荷的50%

四、UASB运行控制

1、UASB中碱度(ALK)(以碳酸钙计)不低于2000mg/L,也有提出在1000-5000mg/L;

2、UASB中挥发性脂肪酸(VFA)不高于200mg/L,也有提出在50-2500mg/L;

3、有提出VFA/ALK应保持在0.3以下时,但是有时候就算超出以上数据,厌氧塔也可正常运行;

4、启动和运行时,UASB反应器内PH宜为6.8-7.5(也有提出在6.0-8.0);

5、UASB反应区污泥浓度不低于3万mg/L;

6、UASB污泥层应维持在三相分离器下0.5-1.5m;

7、UASB宜维持稳定的反应温度;

8、有资料提出钙离子浓度在80-150mg/L时有利于颗粒污泥的形成;

9、如果有检测条件,可以对进水微量元素进行检测,进而适当的补充微量元素,以利于产甲烷菌的繁殖及活性的提高,主要的微量元素有:铁、钴、镍等。

香港免费公开资料大全

香港免费公开资料大全是一家专注水处理设备的厂家,主要产品有RO反渗透设备中水回用设备,EDI高纯水设备,海水淡化设备,软化水设备,超滤设备、去离子水设备,工业废水污水处理设备等各种水处理技术的研发,设计生产、安装调试等一体化企业。17811872518 王工

在线客服
联系方式

热线电话

159-2117-8145

上班时间

周一到周五

手机号码

15921178145

二维码
线